아무거나 내꺼 공부할래
[개념]경로 탐색(DFS, 인접리스트) / c++ / 제한시간 없음 본문
▣ 문제
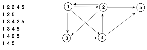
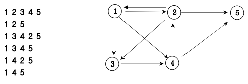
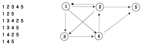
방향그래프가 주어지면 1번 정점에서 N번 정점으로 가는 모든 경로의 가지 수를 출력하는 프 로그램을 작성하세요. 아래 그래프에서 1번 정점에서 5번 정점으로 가는 가지 수는

총 6 가지입니다.
▣ 입력설명
- 첫째 줄에는 정점의 수 N(1<=N<=20)와 간선의 수 M가 주어진다. 그 다음부터 M줄에 걸쳐 연 결정보가 주어진다.
▣ 출력설명
- 총 가지수를 출력한다.
▣ 입력 예시
| 5 9 1 2 1 3 1 4 2 1 2 3 2 5 3 4 4 2 4 5 |
▣ 출력 예시
| 6 |
<코드>
#pragma warning(disable:4996)
#include<stdio.h>
#include<vector>
using namespace std;
int visit[21];
int cnt = 0, n;
vector<int> map[30];
void dfs(int v) {
int i;
if (v == n) {
cnt++;
}
else {
for (i = 0; i < map[v].size(); i++) {
if (visit[map[v][i]] == 0) {
visit[map[v][i]] = 1;
dfs(map[v][i]);
visit[map[v][i]] = 0;
}
}
}
}
int main() {
int m;
int a, b, i;
scanf("%d %d", &n, &m);
for (i = 0; i < m; i++) {
scanf("%d %d", &a, &b);
map[a].push_back(b);
}
visit[1] = 1;
dfs(1);
printf("%d\n", cnt);
return 0;
}
그래프(Graph)를 표현하기 위해서 크게 두 가지 방법이 있다. 하나는 인접행렬, 나머지는 인접리스트이다.
c++에서는 vector을 사용하면 인접리스트를 쉽게 사용할수 있기 때문에 c++을 사용했다.(c에서도 할수있지만 코드가 너무 길고 복잡해짐)
인접리스트는 그래프의 연결구조를 vector의 배열로 표현한것이다.
입력 예시를 예로 들면, 다음과 같은 그림으로 표현할수 있다.
| map[1] | -> | 2 | -> | 3 | -> | 4 |
| map[2] | -> | 1 | -> | 3 | -> | 5 |
| map[3] | -> | 4 | -> | -> | ||
| map[4] | -> | 2 | -> | 5 | -> | 5 |
| map[5] | -> | -> | -> |
adj[n]은 연결리스트의 구조와 비슷하다고 생각하면 된다. n번 정점과 연결된 노드들을 배열로써 표현할 수 있다. 이때 사용하는 함수는 .push_back(int v)이다. 이 함수를 통해서 뒤에 노드를 계속 붙일수 있다.
.size()함수는 해당 인접리스트에 얼마나 많은 노드들이 연결되어 있는지를 알려준다. 만약 map[1].size()를 예로 들면 map[1]에는 2,3,4라는 노드들이 연결되어있기 때문에 '3'이라는 값을 준다.
.
인접리스트를 사용하면 사용하는 간선의 수만큼만 메로리를 사용한다는 장점이 있다. 하지만 map[i][j]가 연결되어있는지를 확인하기 위해서 vector전체의 성분을 확인해야 하기 때문에 인접행렬보다 훨씬 많은 시간이 필요하다.
'[c언어&c++] 알고리즘 공부 > 개념' 카테고리의 다른 글
| [개념] 최소비용(DFS, 가중치 방향그래프 인접리스트,STL pair)/ c++ / 제한시간 없음 (0) | 2021.02.17 |
|---|---|
| [개념]이진트리 넓이우선탐색(BFS) / c & c++ / 제한시간 없음 (0) | 2021.02.15 |
| [개념] 인접 행렬(가중치 방향그래프) / c / 제한시간 없음 (0) | 2021.02.03 |
| [개념] 병합정렬 / c / 제한시간 없음 (0) | 2021.02.03 |
| [개념] K진수 출력(스택) / c / 제한시간 없음 (0) | 2021.02.01 |