아무거나 내꺼 공부할래
[개념] 인접 행렬(가중치 방향그래프) / c / 제한시간 없음 본문
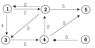
▣ 입력설명
- 아래 그림과 같은 그래프 정보를 인접행렬로 표현해보세요.

▣ 입력설명
- 첫째 줄에는 정점의 수 N(1<=N<=20)와 간선의 수 M가 주어진다. 그 다음부터 M줄에 걸쳐 연 결정보와 거리비용이 주어진다.
▣ 출력설명
- 인접행렬을 출력하세요.
▣ 입력 예시
| 6 9 1 2 7 1 3 4 2 1 2 2 3 5 2 5 5 3 4 5 4 2 2 4 5 5 6 4 5 |
▣ 출력 예시
| 0 7 4 0 0 0 2 0 5 0 5 0 0 0 0 5 0 0 0 2 0 0 5 0 0 0 0 0 0 0 0 0 0 5 0 0 |
<코드>
#pragma warning(disable:4996)
#include<stdio.h>
int map[21][21];
int main() {
int n, m, a, b, c, i, j;
scanf("%d %d", &n, &m);
for (i = 1; i <= m; i++) {
scanf("%d %d %d", &a, &b, &c);
map[a][b] = c;
}
for (i = 1; i <= n; i++) {
for (j = 1; j <= n; j++) {
printf("%d ", map[i][j]);
}
printf("\n");
}
return 0;
}
이 문제에서 인접행렬이란 '그래프'의 자료 구조를 설명한다.
그래프는 크게 '무방향 그래프', '방향 그래프', '가중치 방향그래프' 이렇게 3가지로 구분 지을수 있다.
'무방향 그래프'는 각 정점(vertex)을 잇는 간선(edge)이 가르키는 방향이 없는것이다.
'방향 그래프'는 각 정점을 잇는 간선이 가르키는 방향이 있는 것이다.
'가중치 방향그래프'는 각 정점을 잇는 간선이 가르키는 방향과 값이 있는 것이다.
위 코드를 보면 a,b는 정점(vertex)를 알려주고 c는 간선(edge)이 가지는 가중치 값을 나타낸다.
이 개념과 나중에 '인접 리스트'는 DFS 또는 BFS를 푸는데 기본적인 문제 접근을 도와준다.
'[c언어&c++] 알고리즘 공부 > 개념' 카테고리의 다른 글
| [개념]이진트리 넓이우선탐색(BFS) / c & c++ / 제한시간 없음 (0) | 2021.02.15 |
|---|---|
| [개념]경로 탐색(DFS, 인접리스트) / c++ / 제한시간 없음 (0) | 2021.02.15 |
| [개념] 병합정렬 / c / 제한시간 없음 (0) | 2021.02.03 |
| [개념] K진수 출력(스택) / c / 제한시간 없음 (0) | 2021.02.01 |
| [개념] 각 행의 가장 가까운 값 / c / 제한시간 없음 (0) | 2021.01.29 |