아무거나 내꺼 공부할래
[개념] 병합정렬 / c / 제한시간 없음 본문
▣ 문제
- N개이 숫자가 입력되면 오름차순으로 정렬하여 출력하는 프로그램을 작성하세요. 정렬하는 방법은 병합정렬입니다.
▣ 입력설명
- 첫 번째 줄에 자연수 N(1<=N<=100)이 주어집니다. 두 번째 줄에 N개의 자연수가 공백을 사이에 두고 입력됩니다. 각 자연수는 정수형 범위 안에 있습니다.
▣ 출력설명
- 오름차순으로 정렬된 수열을 출력합니다.
▣ 입력 예시
| 8 7 6 3 1 5 2 4 8 |
▣ 출력 예시
| 1 2 3 4 5 6 7 8 |
<코드>
#pragma warning(disable:4996)
#include<stdio.h>
int data[10], temp[10];
void divide(int lt, int rt) {
int mid;
int p1, p2, p3;
if (lt < rt) {
mid = (lt + rt) / 2;
divide(lt, mid);
divide(mid + 1, rt);
p1 = lt;
p2 = mid + 1;
p3 = lt;
while (p1 <= mid && p2 <= rt) {
if (data[p1] < data[p2]) temp[p3++] = data[p1++];
else temp[p3++] = data[p2++];
}
while (p1 <= mid) temp[p3++] = data[p1++];
while (p2 <= rt)temp[p3++] = data[p2++];
for (int i = lt; i <= rt; i++) {
data[i] = temp[i];
}
}
}
int main() {
int n, i;
scanf("%d", &n);
for (i = 1; i <= n; i++) {
scanf("%d", &data[i]);
}
divide(1, n);
for (i = 1; i <= n; i++) {
printf("%d ", data[i]);
}
return 0;
}
병합정렬이란 배열을 계속 2개씩 나눈후 최소단위에서 계산의 결과값을 합쳐서 원래 문제의 결과를 푸는 방법이다.
이 문제에서는 오름차순으로 정렬하는것을 예로 들었다.
이전에 푼 '두 배열 합치기'의 개념을 빌려다 푸는 방법이다.
https://chonstudyroom.tistory.com/19?category=972726 <참고>
우선 배열을 입력을 받는다.
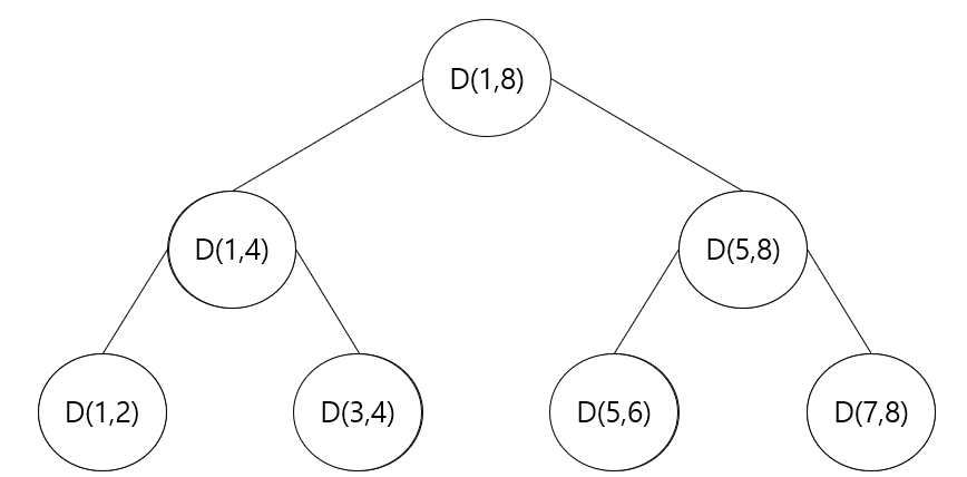
이제 divide 함수에서 왼쪽(lt)과 오른쪽(rt)를 기준으로 절반씩 나누게 된다. 이를 계속 반복하면 다음과 같은 그림으로 나타난다.

그리고 p1,p2는 각각 data[ ] 의 lt, rt를 나타내는 포인터이고 p3는 temp[ ]의 포인터를 뜻한다.
정렬은 D(1,2) - D(3,4) - D(1,4) - D(5,6) - D(7,8) - D(5,8) - D(1,8)의 순서로 실행이 된다. (후위 순회)
병합정렬의 장점으로는 시간복잡도가 O(nlogn)으로 굉장히 효율적인 코드이다. 단점으로는 temp[ ]라는 공간을 차지하는 배열을 만들어야한다는 점이다.
이는 나중에 '연결리스트'로 구성하면 링크의 인덱스만 변경되어서 데이터의 이동이 무시된다는 점이다. (나중에 추가적인 설명필요할듯)
처음 코드를 짜는데 힘들긴하지만 퀵정렬보다 더 효율적인 코드이긴하다.

'[c언어&c++] 알고리즘 공부 > 개념' 카테고리의 다른 글
| [개념]경로 탐색(DFS, 인접리스트) / c++ / 제한시간 없음 (0) | 2021.02.15 |
|---|---|
| [개념] 인접 행렬(가중치 방향그래프) / c / 제한시간 없음 (0) | 2021.02.03 |
| [개념] K진수 출력(스택) / c / 제한시간 없음 (0) | 2021.02.01 |
| [개념] 각 행의 가장 가까운 값 / c / 제한시간 없음 (0) | 2021.01.29 |
| [개념] 봉우리(2차원 배열 탐색) / c / 제한시간 없음 (0) | 2021.01.29 |